Алгебра. 9 класс. Дидактические материалы. ФГОС...
«Алгебра. 9 класс. Самостоятельные и контрольны...
ГДЗ проверочные работы / П-19. вариант 1 алгебр...
Дидактические материалы 9 класс / к учебнику Ма...
ГДЗ Алгебра дидактические материалы 9 класс Евс...
Алгебра. 9 класс. Дидактические материалы - Фео...
ГДЗ решебник по алгебре 9 класс Макарычев, Минд...
Макарычев Алгебра 9 Класс Учебник Pdf - rosexpress
Дидактические материалы для 9 класса А.Г.Мерзля...
ГДЗ проверочные работы / П-45. вариант 2 алгебр...
Алгебра. Дидактические материалы. 9 класс (с уг...
Дидактический материал по алгебре ершова 9 клас...
Алгебра за 9-ый класс - Ю.Н. Макарычев, Н.Г. Ми...
Никольский 9 класс дидактические материалы: ГДЗ...
ГДЗ Алгебра 9 класс Зив, Гольдич - Дидактически...
«Алгебра. 9 класс», М. И. Шабунин – скачать pdf...
Потапов. Алгебра. Дидактические материалы. 9 кл...
Феоктистов и.е. "алгебра. 9 класс. дидактически...
Алгебра. 9 класс. Рабочая тетрадь. Часть 1 - ку...
гдз по алгебре 9 класс макарычев 2012, дидактич...
Алгебра - 9 класс - Infourok
«Алгебра. 9 класс», А. Г. Мерзляк – скачать pdf...
Дидактические материалы 9 класс ершов: Поиск ма...
Алгебра. Дидактические материалы. 9 класс - Пот...
Алгебра. Дидактические материалы. 9 класс - Евс...
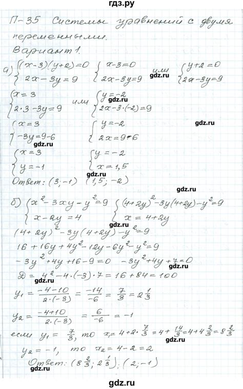
ГДЗ проверочные работы / П-35. вариант 1 алгебр...
И.Е. Феоктистов. Алгебра. 9 Класс. Дидактически...
ГДЗ самостоятельная работа / вариант 1 / С-3 5 ...
Поурочные планы алгебра 9 класс по учебнику мак...