EMR and the atom: Part Deux - ppt download
What is the meaning of 1s^2, 2s^2
(i) 1/s^2(s + 1)^2 (ii) 1/(s + 1)(s^2 + 1) (iii...
Schematic representation of S 1 , S 2 and S 3 f...
The results of S 1 S 2 . | Download Scientific ...
Solved L-1{s+1s2-4s} | Chegg.com
1s 2s 2p 3s - YouTube
Variation of S 1 and S 2 | Download Scientific ...
32. What is 1S,2S configuration
Services (a) S 1 ⊕ S 2 and (b) S 1 3S 2 | Downl...
Solved Compute L^-1{s^2 + s + 1/s}. | Chegg.com
1s 2 2s 1
CHAPTER 8 ELECTRON CONFIGURATIONS AND PERIODICI...
Electron Configuration - ppt download
1/((s^2+1)^2)
Main wavefunction components of the 1s2s 2 2 S ...
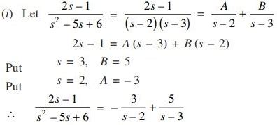
(i) (2s - 1)/(s^2 - 5s + 6) (ii) s/(2s - 1) (3s...
The main representatives of S (0) m and S (s2) ...
S 1 , S 2 ∈ S 1 14,4 | Download Scientific Diagram
Which element has the electron configuration of...
(a) S 1 , S 2 and S 3 are the given source imag...
PPT - 1s 2 PowerPoint Presentation, free downlo...
Level structure of the 1s 2 , 1s2s and 1s3s con...
1s2 2s1 ||Which element has the electron config...
Solved results of S 1 S 2 S 3 . | Download Scie...
Solved L^-1 {s + 1/(s^2 + 2s + 2)^2} | Chegg.com
Atomic Structure. - ppt download
Electron Configuration: Decoding 1s2 2s2 2p6
The scheme of the 2P 1/2 − 1S and 2S 1/2 − 1S t...
Mapping relationship between S 1 and S 2 . | Do...
Representation of signed number | sign magnitud...
Example 2 when S = {s 1 , s 2 , s 3 }, W s 1 = ...