Highest Engine Rpm Ever Achieved
[ETS 2 v1.49] RPM - Rheinland & Pfalz 1:1 Map +...
Convert Radians per Second to Revolutions per M...
What Is Rpm Meter
Engine Rpms Go Up And Down
Como Calcular O Rpm - FDPLEARN
RPM Meaning - What is RPM? | CarsGuide
Describe the Tools Used for Managing Rpms - Sar...
Lecture 13 RPM and its advantages. - ppt download
Why Is My Engine Running High Rpm at hopedmarsh...
[ETS 2 v1.49] RPM - Rheinland & Pfalz 1:1 Map *...
ETS 2 v1.49 - RPM MAP - von Polizeikontrollen &...
Rpms Go Up But No Acceleration
ETS 2 v1.49 - RPM MAP - mit dem SK auf Geheimst...
How To Read The Rpm Gauge at Dakota Bunce blog
Descubre cómo calcular las RPM de un motor de l...
Understanding What RPM Means
ETS 2 v1.49 - RPM MAP - Wechselbrücke aufnehmen...
4,719 Rpm Vector Images, Stock Photos & Vectors...
how to convert Revolutions Rotations Per Minute...
Rpm Meter Clipart
RPM | What Does RPM Mean?
Rpm gauge hi-res stock photography and images -...
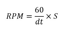
O que é RPM do motor?. Como é calculado a rotaç...
Tìm hiểu r.p.m là gì và công dụng của nó trong ...
PPT - RPMs PowerPoint Presentation, free downlo...
What RPM Should a Car Idle At? | Vehicle Wisdom
[ETS 2 v1.49] RPM - Rheinland & Pfalz 1:1 Map W...
Como Calcular O Rpm - BRAINCP
What Does Car RPM Stand For? - In The Garage wi...
RPM Measurement — Plane documentation
RPM là gì? 1RPM bằng bao nhiêu vòng/phút?