Решение интегралов. Рассказываем, как решать ин...
Презентация к уроку "Интеграл"
Интеграл
Интегралы№2 Неопределенный интеграл - YouTube
Интеграл - Умскул Учебник
Интегралы таблица формулы для студентов
Как решать интегралы: примеры и образцы решения...
Доклад на тему "Интеграл"
Что такое интеграл в математике простыми словами
Как быстро выучить таблицу интегралов
Что такое интеграл и для чего он нужен
Что такое интеграл? Интегралы с подробным решен...
Интегралы: определение, свойства, примеры OTUS
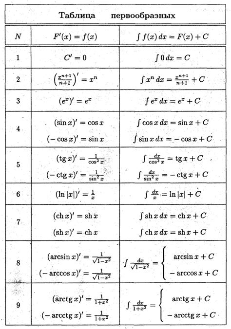
Таблица интегралов, таблица основных интегралов...
Интеграли | MATEMATИKA
Интегралы
Все о определенном интеграле: Определенный инте...
Какво е интеграл? Интеграли с подробно решение....
Интегралы. Неопределенный интеграл. Определенны...
Как выучить таблицу интегралов
∫ Решение интегралов онлайн с подробным решением
Интегралы что это как решать
Способы решения сложных интегралов