«Математика. 6 класс. Часть 1», Л. А. Александр...
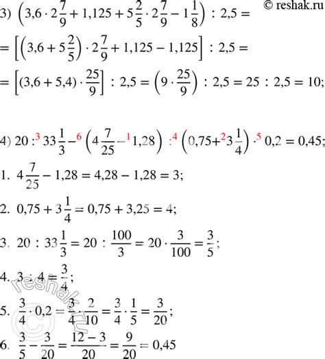
Номер 164 - ГДЗ Математика 6 класс Дорофеев - Г...
"Математика. 6 класс. Часть 1" скачать fb2, rtf...
Дорофеев Учебник Математики 6 Класса - regulati...
Номер 2 стр. 8 - ГДЗ по математике 6 класс Доро...
ГДЗ по математике 6 класс Дорофеев, Шарыгин, Су...
(Решено)Упр.126 Часть 1 ГДЗ Дорофеев Петерсон 6...
Часть 1 Номер 1 - ГДЗ по математике 6 класс Дор...
ГДЗ по математике 6 класс, онлайн решебники и о...
Математика 6 класс Дорофеев и Петерсон Часть 1 ...
(Решено)Упр.1 Часть 1 ГДЗ Дорофеев Петерсон 6 к...
Номер 186 - ГДЗ Математика 6 класс Дорофеев - Г...
Номер 57 - ГДЗ Математика 6 класс Дорофеев - ГД...
Номер 4 - ГДЗ Математика 6 класс Дорофеев - ГДЗ...
Часть 1 Номер 360 - ГДЗ по математике 6 класс Д...
Математика 6 класс Итоговая Дорофеев | Все Конт...
ГДЗ Математика 6 класс Бунимович, Дорофеев, Сув...
(Решено)Упр.161 Часть 1 ГДЗ Дорофеев Петерсон 6...
решебник и гдз по математике за 6 класс дорофее...
6 класс 1 часть.pdf
ГДЗ Номер 399 Математика 6 класс Дорофеев Часть...
ГДЗ Номер 192 Математика 6 класс Дорофеев. Пете...
Математика 6 класс Дорофеев и Петерсон Часть 2 ...
Решебник (гдз) по учебнику математика 6 класс Д...
(Решено)Упр.181 Часть 1 ГДЗ Дорофеев Петерсон 6...
Математика 6 класс Учебник Дорофеев Петерсон ча...
ГДЗ: Математика 6 класс Дорофеев, Шарыгин - Уче...
ГДЗ Номер 230 Математика 6 класс Дорофеев. Пете...
КР-1 Математика 6 Дорофеев - Дроби и проценты |...
ГДЗ Номер 46 Математика 6 класс Дорофеев Часть ...
Номер 304- ГДЗ Математика 6 класс Учебник Дороф...