PPT - Презентация к уроку химии 8 класс «Соли» ...
Лекция 17. Пищеварение презентация, доклад
Соли Желчных Кислот фото
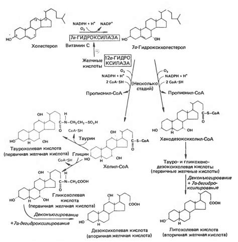
Этапы биосинтеза желчных кислот
Формула для Желчного Пузыря (Желчные Соли) — ку...
Очищающие свойства соли — Джйоти .RU
Gallbladder Formula
Солерастворяющие чаи: выгонят все соли, очистят...
Желчные Соли Купить В Аптеке Москва Цена — Tuta...
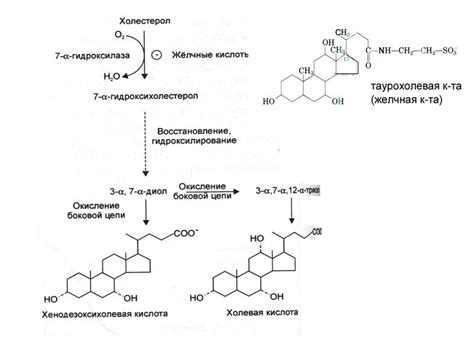
Выведение холестерола и образование солей желчн...
Желчные соли купить в аптеке — купить по низкой...
Желчные кислоты
Презентация "Поваренная соль- удивительный мине...
Как наладить желчеотток? Мифы и реальность / Бл...
Желчь: что это, функция, секреция и производств...
Отзыв о БАД Jarrow Formulas Соли желчных кислот...
Желчные соли: как они работают + 9 причин, по к...
9 плюсов приема очищенных желчных солей - YouTube
Соль пищевая «Мозырьсоль» Белорусская, поваренн...
Структура и функции желчных кислот - БИОХИМИЯ Ч...
Проблемы с желчным пузырем 👉Веганская формула д...
Bile Salts соли желчных кислот Натуральная доба...
Очистка поваренной соли - презентация онлайн
Бычья желчь, Ox Bile, 125 мг, The Vitamin Shopp...
7 способов быстрой очистки пятен с помощью соли
Желчные соли препараты список лучших — купить п...
Поваренная соль - отличительные свойства, польз...
Польза и вред соли: свойства разных видов соли,...
Соль польза и вред: О вреде и пользе соли в рац...
Соль + Калий, Селен, Йод (с пониженным содержан...
Очищенные желчные соли