Главная
»
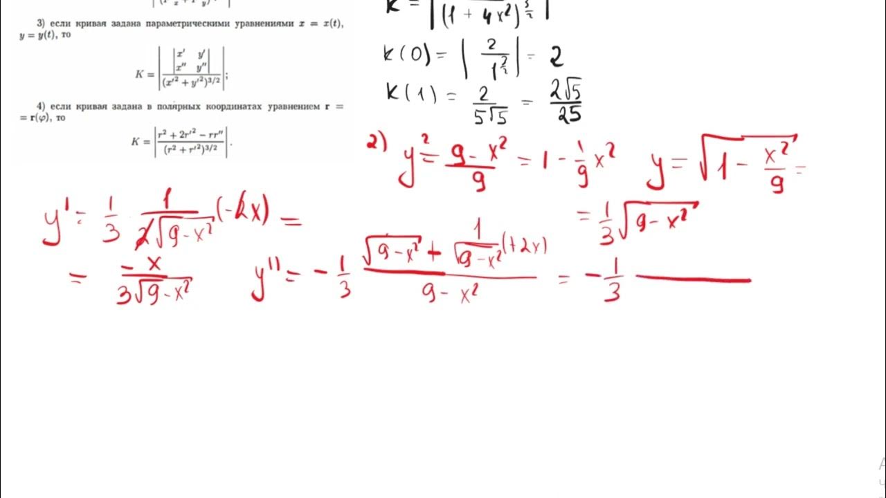
Как обозначается радиус кривизны линзы
Кривизна функции. Радиус кривизны - YouTube